D614G突变株是指新冠病毒表面的刺突蛋白(Spike protein)第614位的氨基酸由天冬氨酸(Aspartic acid, D)突变为甘氨酸(Glycine, G)。由于D614G突变株在全球范围内已经成为新冠病毒主流毒株,并且D614G突变发生在新冠病毒识别宿主细胞的刺突蛋白上,因此研究人员对此突变位点格外关注,试图尽快确定D614G突变是否会影响病毒的传染性以及毒力。
10月初,来自美国的科研人员在《细胞》杂志上发表文章 Structural and Functional Analysis of the D614G SARS-CoV-2 Spike Protein Variant 1,通过细胞生物学和结构生物学的方法对D614G突变进行了深入研究,接下来我们将对这项研究成果进行解读。
新冠病毒D614G突变株后来居上
根据权威组织——全球共享流感数据倡议组织(GISAID)的统计数据,自从新冠疫情爆发后,D614G突变在已公布的新冠病毒序列中的占比稳定增加。截至2020年6月25日,此突变位点出现的频率已经达到74%,说明含有D614G突变的新冠病毒已经成为全球流行的病毒株(图1)。
图1. 新冠病毒D614G突变株出现频率稳步提升
D614G增强假病毒感染能力
研究人员构建出分别表达原型及D614G突变型Spike蛋白的假病毒,然后用这两种假病毒去感染人源肺部上皮细胞Calu-3、人源结肠上皮细胞Caco-2、以及外源表达ACE2和TMPRSS2的HEK-293及SupT1细胞。研究人员发现表达D614G突变型Spike蛋白的假病毒在感染细胞后,其产生报告基因的信号比表达原型Spike蛋白的假病毒高出4-9倍(图2)。
图2. D614G增强假病毒的感染能力
D614G降低S蛋白与ACE2的亲和力
新冠病毒Spike蛋白通过其RBD结构域与宿主细胞的受体ACE2结合,使得病毒能够识别宿主细胞,但D614G突变并不处于RBD结构域中,研究人员推测D614G突变可能不会影响Spike蛋白与ACE2的亲和力。为验证这一假设,研究人员利用表面等离子共振(Surface Plasmon Resonance, SPR)方法进行检测,发现在25°C条件下下,D614G突变使得Spike蛋白与ACE2的解离速率提高4倍,从而导致Spike蛋白与ACE2的亲和力下降5.7倍;而在37°C条件下,研究人员得到的结果类似,D614G突变使Spike蛋白与ACE2的解离速率提高,导致Spike蛋白与ACE2的亲和力下降5倍。以上实验结果说明,D614G并不是通过提高Spike蛋白与ACE2的亲和力来增强假病毒的感染能力(图3)。
图 3. D614G降低Spike蛋白与ACE2的亲和力
D614G不影响中和抗体的抗病毒能力
目前绝大多数新冠病毒的中和抗体都以Spike蛋白的RBD为靶点,通过阻断RBD与ACE2的结合来阻止病毒感染宿主细胞。尽管D614G突变不位于RBD上,但人们依然担心D614G突变会影响这些中和抗体的抗病毒能力。研究人员利用假病毒系统对再生元(Regeneron)的4株全人源新冠中和抗体进行检测,发现D614G并不会影响这些抗体中和假病毒的能力,抗体的IC50值差异很小(图4)。
图4. D614G不影响中和抗体的抗病毒能力
D614G改变S蛋白的空间三维结构
在新冠原型Spike蛋白三聚体结构中,Spike蛋白主要存在两种组分,一种是三个Spike蛋白中的RBD全部处于“关闭”状态,这种组分占比为46%;另一种是三个RBD中有1个处于“打开”状态,另2个处于“关闭”状态,这种组分占比为54%2。因为RBD处于“关闭”状态时无法结合受体ACE2,因此Spike蛋白中RBD处于“打开“状态被认为是新冠病毒识别宿主细胞的起始(图5)3。
图5. Spike蛋白RBD结合ACE2启动新冠病毒感染宿主的示意图
为进一步研究D614G突变对Spike蛋白空间构象的影响,研究人员利用冷冻电镜的方法解析了含有D614G突变的Spike蛋白三维结构,并同原型Spike蛋白的结构进行比较。通过对比发现,Spike蛋白S2亚基的空间位置没有明显变化,但D614G突变使Spike蛋白S1亚基偏离原型蛋白中的位置,导致获得的Spike蛋白中只有5%的组分处于3个RBD全部“关闭”的状态,有36%的组分处于1个RBD“打开”的状态, 有39%的组分处于2个RBD“打开”的状态, 有20%的组分有3个RBD全部处于“打开”的状态。由于有更多RBD处于“打开”的状态,因此可能导致Spike蛋白更容易与ACE2结合,促进新冠病毒感染宿主细胞(图6)。
图6. D614G使Spike蛋白中RBD 2 open及RBD 3 open的含量增加
在这篇文章中,科研人员通过功能和结构实验对新冠Spike蛋白D614G突变进行了全面且深入的研究,展示出D614G对Spike蛋白的结构影响及其可能影响病毒传染性的作用方式。尽管D614G突变株在全球范围内流行,但究竟D614G突变能否增强新冠病毒传染性以及是否由D614G突变导致此毒株流行,仍有待于进一步的研究。
D614G对新冠疫苗评价的启示
当前全球有接近200个新冠疫苗项目正在推进中,在评价疫苗有效性时,疫苗公司和研究院所通常会使用原型Spike蛋白或RBD蛋白作为抗原检测样本中的抗体滴度。与其它公司不同,美国Moderna公司已经开始使用含有D614G突变的Spike蛋白进行抗体检测,值得引起注意5。
图7. Moderna的mRNA疫苗使用D614G突变的Spike蛋白进行抗体滴度评价
三聚体Spike D614G蛋白相关产品
ACROBiosystems开发了多款三聚体Spike D614G蛋白相关产品,包括三聚体S蛋白、S1蛋白和磁珠产品,可应用于新冠病毒中和抗体和疫苗开发研究中。
产品列表
点击图片查看详情
验证数据
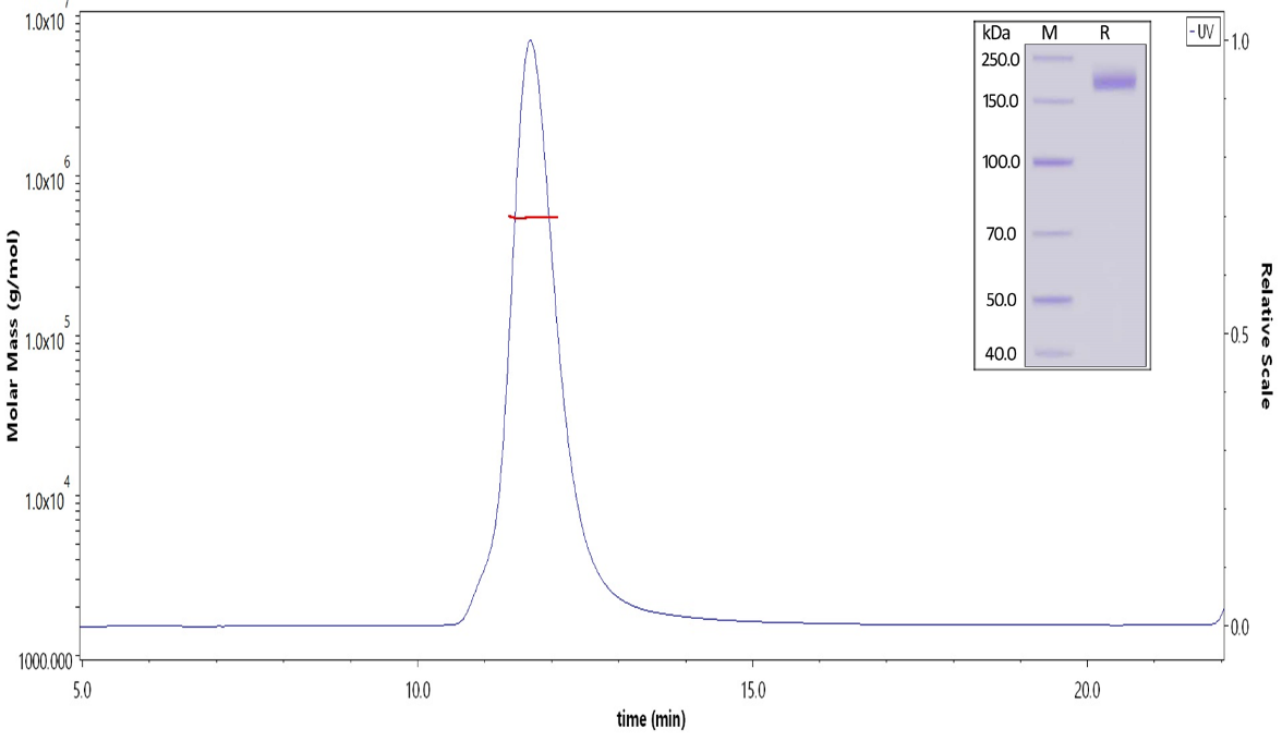
MALS 验证,三聚体S蛋白(D614G)纯度大于90%
图8 The purity of SARS-CoV-2 S protein (D614G), His Tag, Super stable trimer (Cat. No. SPN-C52H3) was more than 90% and the molecular weight of this protein is around 520-620 kDa verified by SEC-MALS.
ELISA验证,三聚体S蛋白(D614G)与ACE2蛋白结合活性高
图9 Immobilized Human ACE2, Fc Tag (Cat. No. AC2-H5257) at 1 μg/mL (100 μL/well) can bind SARS-CoV-2 S protein (D614G), His Tag, Super stable trimer (Cat. No. SPN-C52H3) with a linear range of 0.2-5 ng/mL.
点击申请Protocol
ELISA验证,三聚体S蛋白(D614G)与新冠病毒抗体结合活性高
图10 Immobilized Anti-SARS-CoV-2 RBD Neutralizing Antibody, Human IgG1 (Cat. No. SAD-S35) at 1 μg/mL (100 μL/well) can bind SARS-CoV-2 S protein (D614G), His Tag, Super stable trimer (Cat. No. SPN-C52H3) with a linear range of 0.2-2 ng/mL.
您可通过以下方式联系到ACROBiosystems:
邮件:order.cn@acrobiosystems.com
电话:13521050293
微信:扫描下方二维码即可进行沟通

(请备注公司+姓名)
参考文献:
获取文献源文件(PDF版本)请备注“PDF”添加上方二维码
1. Structure-based design of prefusion-stabilized SARS-CoV-2 spikes
2. Cryo-EM structure of the 2019-nCoV spike in the prefusion conformation
3. Cell entry mechanisms of SARS-CoV-2
4. Structurally resolved SARS-CoV-2 antibody shows high efficacy in severely infected hamsters and provides a potent cocktail pairing strategy
5. Safety and Immunogenicity of SARS-CoV-2 mRNA-1273 Vaccine in Older Adults