北京百普赛斯生物科技股份有限公司品牌商

14

手机商铺

qrcode
商家活跃:
产品热度:
  • NaN
  • 0
  • 0
  • 2
  • 2
ADC偶联试剂盒(MMAF, DAR4, 200ug, for human IgG1)
¥6250
品牌商

北京百普赛斯生物科技股份有限公司

入驻年限:14

  • 联系人:

    占女士

  • 所在地区:

    北京

  • 业务范围:

    试剂、技术服务

  • 经营模式:

    科研机构 生产厂商

在线沟通
推荐产品

GMP级人层粘连蛋白511蛋白

品牌:北京百普赛斯生物科技股份有限公司

¥3675 - 11550

咨询

GMP级人层粘连蛋白521蛋白

品牌:北京百普赛斯生物科技股份有限公司

¥2100 - 11025

咨询

GMP级高盐活化的GENIUS™核酸酶

品牌:北京百普赛斯生物科技股份有限公司

¥5040 - 123480

咨询

GMP级人白细胞介素-6蛋白

品牌:北京百普赛斯生物科技股份有限公司

¥4055 - 20580

咨询

GMP级人白细胞介素-4蛋白

品牌:北京百普赛斯生物科技股份有限公司

¥3130 - 22155

咨询
查看全部产品

公司新闻/正文

火热的ADC药物:靶点这么多,你pick谁?

1798 人阅读发布时间:2020-11-25 16:17

行业背景
 
抗体偶联药物(Antibody-Drug Conjugate,ADC)就是将具有高度靶向性的抗体药与杀伤力强大的化疗药结合到一起,在肿瘤细胞内精准投放药物的同时避免化疗药对正常细胞的杀伤,从而减少治疗过程中的不良反应。第一个ADC药物Mylotarg在2000年批准上市,一直到2019年ADC迎来爆发,目前已有9款上市药物,2019年至今已经批准了5款ADC药物。根据EvaluatePharma和BCG预测,全球ADC药物研发市场预计在2024年将达到129亿美元。随着ADC药物研发技术的不断突破,越来越多的ADC药物接连上市,带来市场研发热情高涨。
新闻图片1
                                                               来源:Cortellis 前瞻产业研究院整理
 
ADC药物作用机理
 
ADC药物被用于肿瘤癌症治疗,其针对病症由其中抗体所针对的靶点决定,抗体特异结合肿瘤细胞高表达的靶点,通过内吞(Internaliztion)将小分子药物带入细胞中,经过溶酶体效应释放小分子药物,从而进行DNA破坏或抑制微管蛋白,最终导致细胞凋亡。  

新闻图片2
                                         来源:2020年全球ADC药物研发报告(华人抗体)
 
ADC的关键要素
 
合适的抗原靶点(Target)、高度特异性的抗体(Antibody)、高效的毒素分子(Payload)、偶联臂(linker)DAR值(Drug Antibody Ratio),这5个方面是ADC药物开发需要关注的重点,也是ADC药物开发的关键要素。
靶点(Target)
ADC药物目前主要应用于肿瘤领域,由于肿瘤细胞表面只有有限数量的抗原,ADC输送到肿瘤细胞的药物量也很低,因此理想抗原靶点的选择至关重要。理想靶点的选择标准与其他单抗药类似,要求靶点能够在肿瘤细胞表面大量特异性表达,而在正常组织中低表达或者不表达,或仅在特定组织类型中有表达。同时应具有一定的内吞速率以及有合适的内吞转运途径。
由于ADC药物的药效作用主要依靠毒素分子,而靶点的主要作用是binding抗体,通过内吞效应将毒素分子带入胞内,至于靶点是否有生物学效应并不十分重要,因此相对于单克隆抗体而言,ADC药物的靶点选择更多。
 

新闻图片3
                        来源:ADC可开发的实体瘤抗原靶点[British Journal of Cancer, 2016]


抗体(Antibody)
目前所有的ADC抗体都是IgG分子,与其他几种IgG相比,IgG1在半衰期及与靶细胞结合后诱导多种免疫反应(ADCC和CDC)上有较大的优势,从而被大家作为ADC药物开发的热门选择。高特异性和高亲和力是ADC药物中抗体应具有的主要特征,但是并不是抗体对靶点的亲和力越高越好,在抗体的设计过程中要综合考虑亲和力、内化效率等指标。

毒素分子(payload)
目前上市的或研发中的ADC使用的毒素大多为已经上市的化疗药物。其作用机制主要是造成DNA损伤(如calicheamicins、duocarmycins、pyrrolobenzodiazepines、SYD983等)、抑制微管蛋白多聚(如MMAE、MMAF、MMAD,DM1、DM4等),从而导致细胞的凋亡,达到肿瘤治疗的目的。

偶联臂(linker):
理想的Linker要求在血液中稳定,在细胞内能够高效的释放毒素分子,根据药物释放机制,可分为稳定型Linker(Non-Cleavable Linkers)和裂解型Linker(Cleavable Linkers)。

DAR值:
DAR值决定了药品的均一性,每个单抗分子所连接的药物不是越多越好,对于疏水性药物,DAR值越大,ADC的溶解性越低,同时也更容易造成ADC自发聚集;另外,DAR值的增加,会导致单抗空间结构变化的越大,从而会造成特异性识别抗原的能力及体内半衰期降低的不良现象。不同DAR值的ADC具有不同的PK特征,DAR值会影响ADC在循环中的稳定性,DAR值越高稳定性越差。

 新闻图片4
                               来源:DAR值与抗肿瘤作用及清除率的关系[The AAPS Journal, 2020]
 

关注我们
 
最近几年将是全球ADC药物的集中收获期。随着全球ADC药物获批数量的增多,可以预见,在中国政府鼓励创新和加快临床急需药品进入中国的政策环境下,越来越多的国内药企开始布局ADC药物研发,其中Her2是ADC药物研发最多的靶点,竞争激烈。差异化布局或成出路靶点,寻找能够合适的药物靶点已经成为ADC研发企业争夺的热点。

 

新闻图片5
                                                         来源:2020中国ADC药物行业报告
 
ACROBiosystems从靶点蛋白开始,致力于更好的生物医药,已针对ADC多种热门靶点开发了不同种属、不同标签的产品适用于免疫、抗体筛选、SPR、细胞活性检测等实验。ACROBiosystems致力于协助您的药物开发,并将研发人员实际的实验操作和参数整理成了相应的protocol免费提供,可以帮助您节省研发周期,后续更有过表达细胞株及Kit产品上线,敬请关注哦~
 
产品列表
新闻图片6
点击图片即可查看产品详情
 
ACROBiosystems正在积极开发更多高质量ADC药物靶点分子。如果您有任何建议或定制要求,请随时与我们联系。
 
点击联系我们
 
除了高质量的抗原蛋白产品外,ACROBiosystems还可提供分子互作分析测试服务,欢迎咨询。点击快速查询
 


验证数据
 
高纯度—MALS 验证
 新闻图片7
1.The purity of Human Her2, His Tag (Cat. No. HE2-H5225) was more than 90% and the molecular weight of this protein is around 80-95 kDa verified by SEC-MALS.



 新闻图片8
2.The purity of Human EGF R, His Tag(Cat. No. EGR-H5222) was more than 90% and the molecular weight of this protein is around 90-115 kDa verified by SEC-MALS.


 
高亲和力-—SPR&BLI验证

  
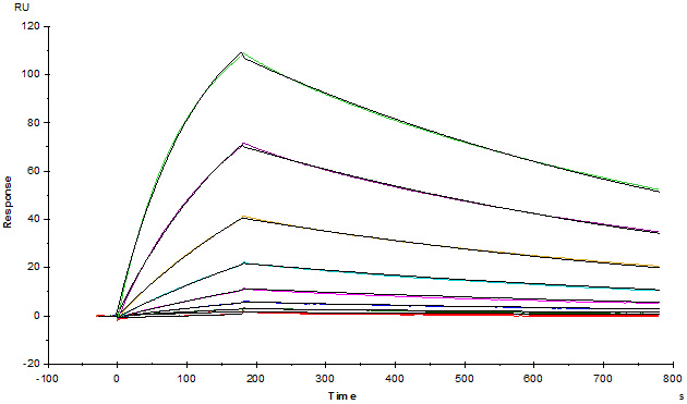
新闻图片9
3.Herceptin (Trastuzumab) captured on CM5 chip via anti-human IgG Fc antibodies surface, can bind Human Her2, His Tag (Cat. No. HE2-H5225) with an affinity constant of 1.07 nM as determined in a SPR assay.   
新闻图片10
4.Loaded Herceptin (Trastuzumab) on AHC Biosensor, can bind Human Her2, His Tag (Cat. No. HE2-H5225) with an affinity constant of 0.825 nM as determined in BLI assay.    新闻图片11
5.Erbitux (Cetuximab) captured on CM5 chip via anti-human IgG Fc antibodies surface, can bind Human EGF R, His Tag (Cat. No. EGR-H5222) with an affinity constant of 1.3 nM as determined in a SPR assay.
新闻图片12 
6.Loaded Erbitux (Cetuximab) on AHC Biosensor, can bind Human EGF R, His Tag (Cat. No.
EGR-H5222) with an affinity constant of 1.23 nM as determined in BLI assay.
点击查看更多ADC药物靶点
点击查看SPR/BLI 分析相关服务信息
 您可通过以下方式联系到ACROBiosystems:
邮件:order.cn@acrobiosystems.com
电话:13521050293
微信:扫描下方二维码即可进行沟通
新闻图片13
(请备注公司+姓名)

上一篇

免疫激动剂,给肿瘤免疫“加油”

下一篇

RBD蛋白突变与中和抗体的较量

更多资讯

我的询价