14 年
手机商铺
公司新闻/正文
722 人阅读发布时间:2021-01-21 11:05
2020年11月10日,安进/阿斯利康联合宣布其TSLP抗体Tezepelumab治疗重度哮喘的三期临床NAVIGATOR获得成功; 尽管后续SOURCE试验结果显示:与安慰剂相比,Tezepelumab在未能达到每日口服糖皮质激素(OCS)剂量在统计上显著减少的主要终点,但Tezepelumab的其他疗效指标与的前期研究结果一致,包括注册III期NAVIGATOR研究。此外,Tezepelumab的安全性结果也与之前的研究一致[1]。
目前Astrazeneca 和 Amgen公司依然对Tezepelumab的开发持乐观态度,认为全部的证据,包含PATHWAY及NAVIGATOR在内的试验数据结果会支持Tezepelumab在广泛的严重哮喘人群中的使用。
根据EvaluatePharma的数据显示,预计Tezepelumab上市后,其会在2026年突破十亿美元年销售额大关,达到10.21亿美元 (Fig. 1)[2]。

Fig. 1 Forecasts for the Asthma antibodies
Tezepelumab是与TSLP结合的一种人类单克隆抗体,可抑制TSLP与TSLP受体复合物的相互作用。TSLP是一种上皮细胞因子,在哮喘炎症中起关键作用。哮喘的各种表型/内型的发病机理中涉及的大量刺激物,如过敏原、细胞因子、微生物产物、机械应力以及香烟烟雾提取物等,可以诱导TSLP从肺上皮细胞释放。TSLP通过与由TSLP R和IL-7受体α(IL-7Rα)组成的高亲和力异源受体复合物结合而发挥其生物学活性。带正电荷的人TSLP与带负电荷的TSLP R结合;然后,IL-7 Rα与TSLP结合形成三元复合物TSLP R:TSLP:IL-7Rα(Fig.2 A),从而启动细胞信号传导,进而诱导人肥大细胞和嗜酸性粒细胞释放细胞因子/趋化因子;激活树突状细胞以诱导功能性2型辅助性T细胞(Th2)极化;TSLP靶向Ⅱ型固有淋巴样细胞(ILC2),并驱动Th2细胞的发育 [3](Fig.2 B)。此外,TSLP还可以对参与哮喘病理生理的先天性和适应性免疫细胞的其他细胞产生广泛的影响[4]。

Fig. 2 A. TSLP is expressed predominantly by lung epithelial cells. B. Human mast cells express both TSLPR and IL-7Rα and TSLP induces the release of cytokines/chemokines.
基于TSLP相关信号传导机制,ACROBiosystems开发了Human IL-7 R alpha & TSLP R 异源二聚体(Cat. No. ILR-H5255),尝试模拟IL-7 R α 和 TSLP R在细胞表面的状态。通过结合验证实验发现,其与TSLP的结合活性显著高于TSLP R单体; 此外,抑制剂筛选实验还发现,TSLP与Human IL-7 R alpha & TSLP R 异源二聚体的结合可被抗体抑制剂抑制, IC50值大于该抑制剂对TSLP与Human TSLP R结合的抑制的IC50值;综上,Human IL-7 R alpha & TSLP R 异源二聚体可以与TSLP结合形成TSLP R:TSLP:IL-7Rα三元复合物,且对TSLP的结合活性与 TSLP R 有显著差异,可以用于TSLP抗体或抑制剂筛选。
此外,ACRO还开发了不同种属的TSLP蛋白和相关受体TSLP R, IL-7Rα,活性经BLI /SPR /ELISA多种技术验证,并且免费提供相应的protocol,更能帮助您缩短研发周期。现在还可申请免费试用装哦~


Immobilized Human IL-7 RA&TSLP R Heterodimer Protein, Fc Tag & Fc Tag (Cat. No.ILR-H5255) at 5 μg/mL (100 μL/well) can bind Human TSLP, His Tag (Cat. No.TSP-H52Hb) with a linear range of 0.4-3 ng/mL.

Serial dilutions of Anti-Human TSLP Antibody, Human IgG2 were added into Human IL-7 R alpha & TSLP R Heterodimer Protein, Fc Tag & Fc Tag (MALS verified) (Cat. No.ILR-H5255) and Human TSLP R, Fc Tag (Cat. No.TSR-H525a): Biotinylated Human TSLP Protein, His,Avitag™ (Cat. No.TSP-H82Eb) binding reactions. The half maximal inhibitory concentrations (IC50) of Human IL-7 R alpha & TSLP R Heterodimer Protein, Fc Tag & Fc Tag (MALS verified) and Human TSLP R, Fc Tag are 1.09688 μg/mL and 0.16239 μg/mL respectively.
Biotinylated Human SPR

Captured Human TSLP (R127A, R130A), His Tag (Cat. No.TSP-H52Ha) on CM5 Chip via anti-His antibody, can bind Human TSLP R, Fc Tag (Cat. No. TSR-H525a) with an affinity constant of 4.22 nM as determined in SPR assay (Biacore T200).

Loaded Human TSLP R, Fc Tag (Cat. No. TSR-H525a) on Protein A Biosensor, can bind Human TSLP, His Tag (Cat. No. TSP-H52Hb) with an affinity constant of 24.6 nM as determined in BLI assay (ForteBio Octet Red96e).

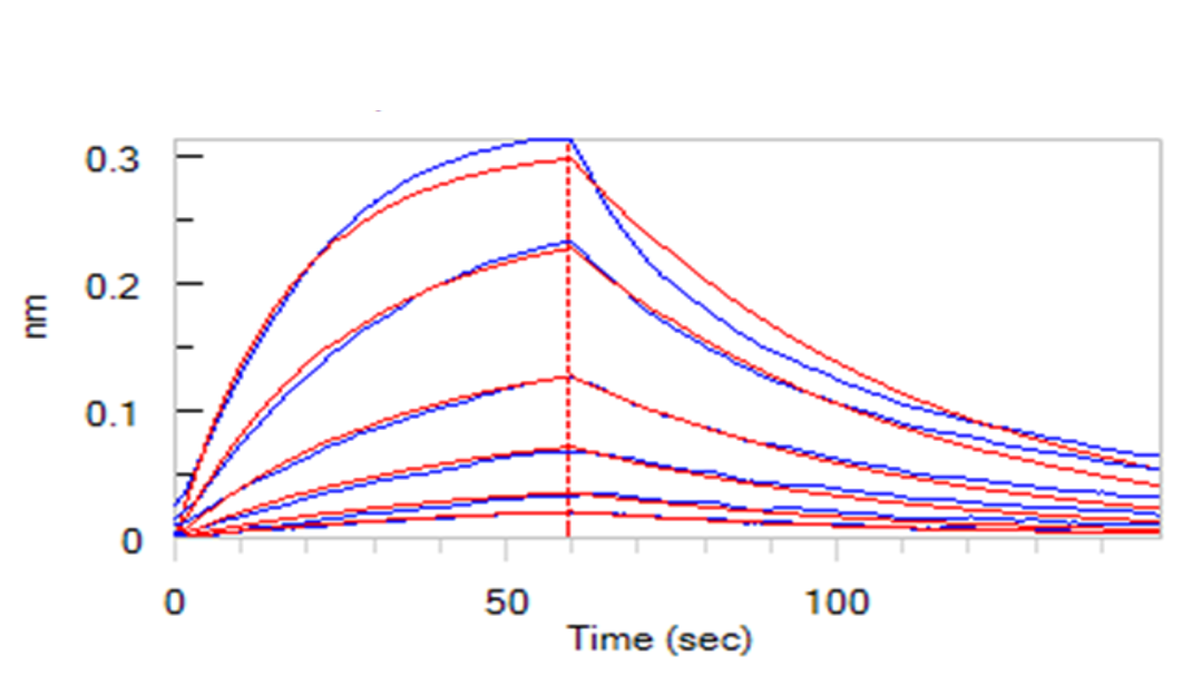
Loaded Human IL-7 RA&TSLP R Heterodimer Protein, Fc Tag&Fc Tag (Cat. No.ILR-H5255) on Protein A Biosensor, can bind Human TSLP, His Tag (Cat. No. TSP-H52Hb) with an affinity constant of 134 pM as determined in BLI assay (ForteBio Octet Red96e).
相关文章阅读:
>>>Tezepelumab 三期临床成功:TSLP治疗哮喘前景大好
您可通过以下方式联系到ACROBiosystems:
邮件:inquiry@acrobiosystems.com
电话:18811625790
微信:扫描下方二维码即可进行沟通

(请备注公司+姓名)
参考资料:
1.https://www.astrazeneca.com/media-centre/press-releases/2020/update-on-source-phase-iii-trial-for-tezepelumab-in-patients-with-severe-oral-corticosteroid-dependent-asthma.html
2.https://www.evaluate.com/vantage/articles/news/trial-results/source-flop-raises-tezepelumab-questions
3.Marone G, et al. Expert Opin Investig Drugs. 2019. PMID: 31549891 Review.
4. Varricchi G, Pecoraro, A, Marone, G, et al. Thymic Stromal Lymphopoietin Isoforms, Inflammatory Disorders, and Cancer. Front Immunol. 2018; 9: 1595.