14 年
手机商铺
公司新闻/正文
918 人阅读发布时间:2021-01-26 19:37
肿瘤免疫治疗就是通过激活或者加强肿瘤-免疫循环,恢复人体正常的抗肿瘤免疫反应,从而控制与清除体内肿瘤的一种治疗方法。自然杀伤(natural killer,NK) 细胞可以通过受体识别方式,直接、快速杀伤靶细胞(如肿瘤细胞),因此在肿瘤免疫治疗过程中起着重要的作用。目前针对抑制性受体的药物开发来负调节抑制效果是通过NK细胞进行细胞治疗的主要手段,相关药物开发主要集中在以下靶点(图1所示)。这些靶点根据受体不同大致分为非MHC-1类抑制型受体、MHC-1类抑制型受体以及其他类型的抑制型受体。

图1 人类NK细胞抑制性受体及其配体
这一系列的靶点包括目前已知的PD-1、CTLA-4等明星靶点,目前针对这些靶点已经有上百种的抗体药物处于不同的临床阶段或者已经完成了药物的上市,创造的巨大的经济效益。
除了这些明星靶点,近年来一些异军突起的靶点也引起了大家的关注。
CD96以及TIGIT与DNAM-1竞争性结合PVR和PVRL2后,实现免疫负调节。阻断检查点分子TIGIT可防止NK细胞耗竭并增强NK细胞的抗肿瘤效果[1]。针对TIGIT当前有12款生物药物处于不同的临床阶段,其中由基因泰克公司开发的靶向TIGIT的单克隆抗体Tiragolumab目前处于临床三期研究,受到多方关注(图2)。

图2 Tiragolumab研究进展
另一个潜力靶点为唾液酸结合免疫球蛋白样凝集素 (sialic acid-binding immunoglobulin-like lectins,Siglec)家族。NK细胞可以表达Siglec-7以及Siglec-9,其中Siglec-7在所有NK细胞上高表达。抑制性配体的唾液酸聚糖(sialylated glycans)过表达并与Siglec结合可能是肿瘤细胞逃避NK细胞识别的机制之一。Siglec-7 和Siglec-9 配体在包括肾细胞癌、黑色素瘤、结肠腺癌、宫颈癌和慢性髓样白血病细胞中都有表达[2]。有研究表明对Siglec-7和Siglec-9阻断也可增强NK 细胞[3]介导的针对K562 和HeLa 细胞系的细胞毒性。通过改变肿瘤细胞中的唾液酸水平或使用阻滞剂靶向Siglec7和Siglec9,可增强基于NK细胞的肿瘤免疫治疗效果。目前针对这一系列的靶点还处在早期研究阶段,有较大的成药潜力。
在NK细胞表面表达的抑制型KIR包括:KIR2DL1、KIR2DL2、KIR2DL3、KIR2DL5、KIR3DL1、KIR3DL2 和KIR3DL3,可以特异性识别HLA-A、HLA-B或HLA-C。成熟的NK细胞必须表达至少一种对自身MHC-Ⅰ类分子特异的抑制性受体(KIR 和NKG2A),以识别和杀死靶细胞并阻止NK细胞对自体细胞的活化。
由诺和诺德首先开发的Lirilumab是一种靶向于杀伤细胞免疫球蛋白样受体(KIR)两个Ig结构域和胞质尾2亚群(KIR2DL 1, 2 and 3)的全人源IgG4单克隆抗体。该药物目前最高处于临床2期,用于多种癌症的治疗。

图3 Lirilumab研究进展
另一个明星靶点CD94-NKG2A也被更多的人关注,该分子是C型凝集素相关的异二聚体抑制性受体,识别HLA-E,在调节NK细胞终末成熟方面具有重要作用。同样由诺和诺德开发的Monalizumab是一种靶向NKG2A受体的人源化IgG4型单克隆抗体,目前最高处于临床三期研究。

图4 Monalizumab研究进展
免疫系统的所有细胞上都可以表达LAIR-1,LAIR-1的配体是胶原蛋白,说明细胞外基质可能具有免疫调节的功能。由NK细胞介导针对肿瘤细胞的免疫,可能通过肿瘤过表达胶原蛋白与LAIR-1结合被抑制。相关研究显示LAIR-1在口腔鳞状细胞癌、肝细胞癌可介导免疫逃逸[4,5]。目前针对该靶点只有NGM公司研发的一种单抗NGM-438,该药处于临床前研究阶段。NK细胞上表达的LILRB1、LILRB2、LILRB5、LILRA2在调节NK细胞活化中的作用尚不完全清楚。现有文献表明LILRBs的阻断可能是一种潜在的癌症治疗方法,不仅可以逆转肿瘤相关免疫细胞的抑制表型,而且还可以直接靶向恶性细胞。
对NK细胞的功能进行调节是肿瘤免疫治疗的重要方法,对抑制型受体的阻断经过实验证实,NK细胞的功能衰竭可被逆转,进而有显著的抗肿瘤治疗效果。在未来的研究中,靶点的选择和组合,针对癌症不同疗法的优化组合将会更快的推进癌症免疫治疗的发展。
ACROBiosystems提供一组独特的二聚体CD94-NKG2A产品,更接近蛋白的天然构象,且活性经ELISA验证 。

Immobilized Human Collagen I protein at 2 μg/mL (100 μL/well) can bind Human LAIR-1, Fc Tag (Cat. No. LA1-H5252) with a linear range of 20-156 ng/mL (QC tested).

Immobilized Human NKG2A&CD94, Mouse IgG2a Fc Tag (Cat. No. NC4-H5253) at 2 μg/mL (100 μL/well) can bind Monoclonal Anti-NKG2A (Z270), Human IgG1 with a linear range of 0.2-8 ng/mL (QC tested).

Immobilized Human NKG2A&CD94, Mouse IgG2a Fc Tag (Cat. No. NC4-H5253) at 5 μg/mL (100 μL/well) can bind various dilution ratio of HLA-E*01:03 HLA-A leader3-11 Tetramer-VMAPRTLVL-PE (Routinely tested).

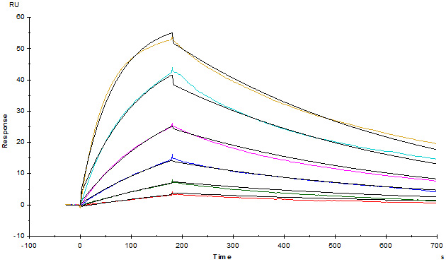
Anti-Human TIGIT MAb (Mouse IgG1) captured on CM5 chip via Anti-Mouse antibodies surface, can bind Human TIGIT, His Tag (Cat. No. TIT-H52H3) with an affinity constant of 3.93 nM as determined in a SPR assay (Biacore T200) (Routinely tested).
您可通过以下方式联系到ACROBiosystems:
邮件:inquiry@acrobiosystems.com
电话:18811625790
微信:扫描下方二维码即可进行沟通

(请备注公司+姓名)
参考文献
1.Qing Z , Jiacheng B , Xiaodong Z , et al. Blockade of the checkpoint receptor TIGIT prevents NK cell exhaustion and elicits potent anti-tumor immunity[J]. Nature Immunology, 2018, 19.
2.Daly J , Carlsten M , O'Dwyer M . Sugar Free: Novel Immunotherapeutic Approaches Targeting Siglecs and Sialic Acids to Enhance Natural Killer Cell Cytotoxicity Against Cancer[J]. Frontiers in Immunology, 2019, 10.
3.Jandus C , Boligan K F , Chijioke O , et al. Interactions between Siglec-7/9 receptors and ligands influence NK cell-dependent tumor immunosurveillance[J]. The Journal of clinical investigation, 2014, 124(4):1810.
4.Wu X, Zhang L , Zhou J , et al. Clinicopathologic significance of LAIR-1 expression in hepatocellular carcinoma.[J]. Current Problems in Cancer, 2018: S0147027217302064.
5.Yang, Lei‐Lei, Zhang, Meng‐Jie, Wu L , et al. LAIRoverexpression and correlation with advanced pathological grade and immune suppressive status in oral squamous cell carcinoma[J]. Head & Neck, 2018.
6.Zhang J , Mai S , Chen H M , et al. Leukocyte immunoglobulin-like receptors in human diseases: an overview of their distribution, function, and potential application for immunotherapies[J]. Journal of Leukocyte Biology, 2017: jlb.5MR1216-534R.
7.聂优, 李亚卓, 程霞,等. NK细胞抑制性受体与肿瘤免疫治疗综述[J]. 解放军医学院学报, 2020, v.41;No.251(03):100-105.