14 年
手机商铺
公司新闻/正文
1278 人阅读发布时间:2021-09-23 14:59
重磅新品播报:
新冠病毒变异毒株 Lambda 正在以秘鲁为首的南美洲国家快速传播。为助力针对 Lambda 的相关研究及疫苗的开发,ACRO 尽全力加速研发,现已经在第一时间成功生产出 Lambda 突变株抗原产品。2021 年 6 月 14 日,WHO 宣布将这株新冠变异毒株 Lambda 列为 “待观察的变异病毒”(Variants of Interest,VOI),这株病毒随之引起人们的广泛关注,有分析甚至预测未来 Lambda 突变株会取代 Delta 成为世界流行的优势毒株。
Lambda 变异毒株传染性相关研究
根据 WHO 提供的信息,Lambda 变异毒株的 Spike 蛋白上存在 G75V, T76I, del247/253, L452Q, F490S, D614G, T859N 等多个突变位点,而这些位点的突变可能会对该突变株的传播能力和免疫逃逸能力造成一定的影响(图 1)。

图 1. Lambda 突变株 Spike 蛋白突变位点图
目前,Lambda 变异株已经在许多国家引发社区传播。不仅如此,近期在这些国家的新增病例中,Lambda 突变株病例的占比也在不断增加,表明该突变株病毒的传播能力较强。此外,科学家们还发现已经出现的两种传染性极强的新冠变异毒株 Lambda 和 Delta 很巧合的都在 L452 位点产生了突变,也许预示着这个位点的突变可能导致了这两种病毒的快速传播。
Lambda 变异毒株免疫逃逸能力相关研究
此外,在疫苗已广泛接种的大背景下,人们非常关心该变异毒株是否会产生免疫逃逸,影响疫苗产生的保护效果。对此,近期有两项研究对 Lambda 的免疫逃逸能力进行了研究:
上述研究结果表明,虽然 Lambda 变异毒株的传染能力较强,但现有疫苗仍能对该变异株产生有效的保护作用。尽管如此,由于 Lambda 突变株刚刚崭露头角,对该突变株的相关研究及报道相对较少。因此,相关各界亟需保持警惕,并对这株潜在的高风险新冠突变病毒进行更加深入的研究。

添加 ACRO 小助手微信(微信号:acromkt)可了解产品详细信息~
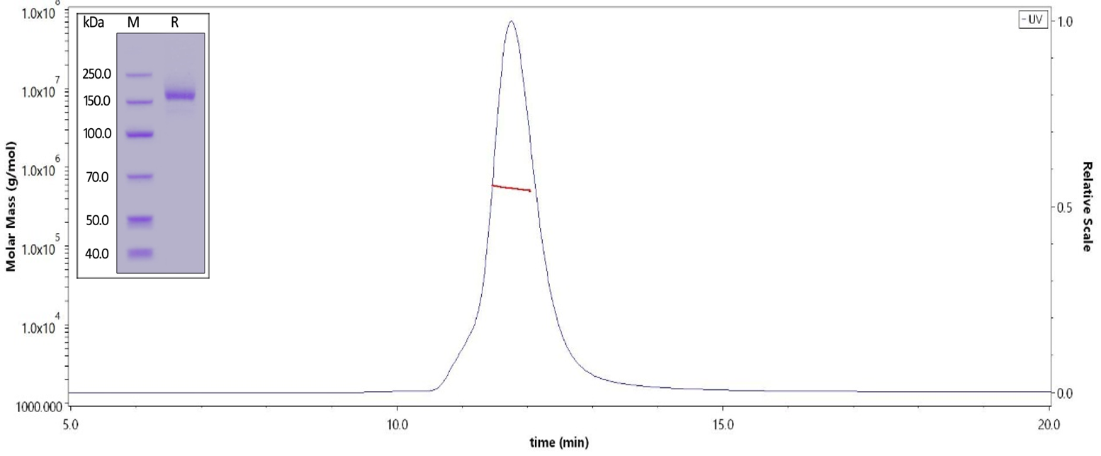
经 SDS-PAGE 和 MALS 验证,Cat.No. SPN-C52Hs 分子量为 540-595 kDa,蛋白纯度 > 95%,三聚体纯度 > 90%

经 ELISA 验证,Cat.No. SPN-C52Hs 与人 ACE2 受体蛋白及 IgG1 抗体结合活性可达 ng 级。

Immobilized Human ACE2, Fc Tag (Cat. No. AC2-H5257) at 5 μg/mL (100 μL/well) can bind SARS-CoV-2 Spike Trimer, His Tag (Cat. No. SPN-C52Hs) with a linear range of 0.2-16 ng/mL (Routinely tested).

添加 ACRO 小助手微信(微信号:acromkt)免费申请 protocol
您可通过以下方式联系到 ACROBiosystems:
邮件:inquiry@acrobiosystems.com
电话:15117918562
(备注:姓名+公司)
参考文献: