14 年
手机商铺
公司新闻/正文
1126 人阅读发布时间:2022-07-18 10:59
ACRO"膜杰作"多次跨膜靶点蛋白开发技术平台成功研发的Claudin家族:Claudin 18.2, Claudin 18.1,Claudin 6维持了四次跨膜蛋白的天然稳定构象,作为高质量抗原高活性经ELISA/SPR/BLI/FACS多平台验证,必将成为生物药研发创新突破的利剑,与您并肩共创未来!
单层上皮是人体许多器官中最大的组织内衬,由细胞连接复合体维持完整性。紧密连接存在于上皮细胞和内皮细胞的连接复合体中,在细胞极性、粘附(防止上皮细胞脱落)和通透性方面起着至关重要的作用,还维持组织结构的完整性,参与细胞内外的跨膜运动和信号转导。肿瘤转移的初始阶段是肿瘤和内皮细胞之间的分离。由Occludin, Claudin和连接粘附分子三个基本膜蛋白组成的紧密连接,是肿瘤转移必须克服的第一个障碍,紧密连接完整性的降低直接导致癌细胞通过内皮屏障进行灌注和外渗、细胞旁路通透性的增加,这也是肿瘤和炎症组织的特征。

紧密连接的结构示意图
Claudin家族是四次跨膜蛋白,在紧密链接的功能中起着关键作用,包括帮助调节上皮细胞和内皮细胞的防御和屏障功能,以及分化和极性。肿瘤的发展以癌细胞的迁移、侵袭和转移为特征。Claudin被认为在这些过程中发挥重要作用,因为Claudin丢失导致了组织依赖的细胞连接缺失。Claudin表达可通过以下几个方面影响肿瘤进展:一是Claudin表达变化引起紧密链接紊乱和渗漏,有利于肿瘤转移和侵袭;第二,细胞极性的降低增加了对肿瘤的营养和生长因子的供应,增加了肿瘤细胞的扩张;第三,细胞间粘附的减少可能会增加转移的风险,促进肿瘤的侵袭。
Claudin家族在相邻细胞之间形成同源和异源的相互作用,是肿瘤发生和转移的关键调控因子。经典Claudin (Claudin 1‑10、14‑15、17、19)比非经典Claudin (Claudin 11‑13、16、18、20‑27)具有更强的序列同源性。

Claudin的结构示意图
近年来的研究表明,Claudin家族蛋白的异常表达与肿瘤的发生、发展及预后密切相关。Claudin 18.2 在健康组织中仅表达于胃黏膜上皮细胞,而在包括胃癌和胰腺癌等多种癌症中高表达,成为抗肿瘤药物“明星”靶点,全球范围内靶向Claudin 18.2 靶点的产品类型涉及单克隆抗体、双特异性抗体、ADC 以及CAR-T 等;Claudin 6在肝癌、卵巢癌、子宫内膜癌和食管癌中,始终在肿瘤组织中高表达,而在周围正常组织中不表达或较少表达,同样成为Claudin家族中肿瘤治疗的火热靶点。
ACROBiosystems利用"膜杰作"——多次跨膜靶点蛋白开发技术平台,攻克全长多次跨膜靶点抗原制备难点,成功开发Claudin系列产品,维持了Claudin蛋白的天然构象,经ELISA/BLI/SPR验证显示高生物活性,满足药物研发应用场景,全面助力创新药物研发。
Claudin 18.2
Claudin 18.2蛋白相关产品

验证数据
☛ ACRO"膜杰作" Claudin 18.2(CL2-H52P7)可与抗Claudin18.2抗体特异性结合经ELISA验证

Immobilized Human Claudin-18.2 Full Length Protein-VLP (Cat. No. CL2-H52P7) at 5 μg/mL (100 μL/well) can bind Monoclonal Anti-Chimeric Claudin-18.2 Antibody, Human IgG1 with a linear range of 0.2-3 ng/mL (QC tested).
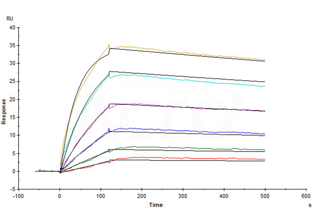
☛ ACRO"膜杰作" Claudin 18.2 (Cat. No. CL2-H52P7) 高生物活性经SPR验证

Human Claudin-18.2 Full Length Protein-VLP (Cat. No. CL2-H52P7) captured on CM5 Chip via Anti-Claudin-18.2 antibody can bind Anti-Claudin-18.2 antibody with an affinity constant of 0.374 nM as determined in a SPR assay (Biacore T200) (Routinely tested).
☛ ACRO"膜杰作" Claudin 18.2(Cat. No. CL2-HF218)和阴性对照蛋白(Cat. No. VLP-NF2P4)分别结合转染Claudin18.2-CAR-293细胞,结果表明,Claudin18.2(Cat. No. CL2-HF218)可与Claudin18.2-CAR-293细胞特异性结合。

2e5 of Anti-Claudin-18.2 CAR-293 cells were stained with 100 μL of 3 μg/mL of Fluorescent Human Claudin-18.2 Full Length Protein-VLP (Cat. No.CL2-HF218) and negative control protein respectively, FITC signals was used to evaluate the binding activity.
Claudin 18.1
Claudin 18.1与Claudin 18.2高度同源,但在肺组织中表达,因此,在开发Claudin18.2靶向药物的过程中需要避免与Claudin 18.1的交叉反应,充分验证Claudin 18.2靶向疗法对Claudin 18.2具有高度特异性,否则有可能攻击健康肺组织,导致严重毒副作用。如何设计只特异性识别Claudin 18.2而不识别Claudin 18.1的抗体成为了该靶点药物开发的难题。

Claudin 18.1和Claudin 18.2的组织表达特异性和序列同源性
验证数据☛ ACRO"膜杰作"Claudin 18.1蛋白(Cat. No. CL1-H5588)经ELISA验证,可与Anti-Claudin 18.1抗体特异性结合,不与Anti-Claudin 18.2抗体结合

Immobilized Human Claudin-18.1, His,Twin-Strep Tag (Cat. No. CL1-H5588) at 5 μg/mL (100 μL/well) can bind Polyclonal Anti-Claudin-18.1 Antibody, Mouse IgG with a linear range of 1-16 ng/mL, and cannot bind Monoclonal Anti-Chimeric Claudin-18.2 Antibody, Human IgG1 antibody.
全长Claudin 6蛋白相关产品

☛ ACRO"膜杰作" Claudin 6 (Cat. No. CL6-HF2G5) 高生物活性经抗体结合验证

经ELISA验证,固定的Human Claudin-6 Full Length Protein-VLP (Cat. No. CL6-HF2G5)可特异性结合Anti-Human Claudin-6 Antibody, Human IgG1,线性区间为0.01-0.625 μg/mL (QC检测)。
☛ ACRO"膜杰作" Claudin 6 (Cat. No. CL6-HF2G5)高均一度经DLS验证

经动态光散射(DLS)测定,全长Claudin 6-VLP (Cat. No. CL6-HF2G5)的平均半径为80 ~ 100 nm,强度大于95%。
>>>点击了解“膜杰作”——多次跨膜靶点蛋白开发技术平台及系列产品
我们建立了一个开放、专业、有深度的膜蛋白技术分享交流群,聚焦多次跨膜靶点蛋白开发、应用等相关主题的讨论、热点文章分享和解读。希望大家能够更多的参与进来,讨论各类问题~

ComboXTM是ACRO新推出的通用型产品的品牌,ComboXTM通用型产品包括Streptavidin(SA)系列产品,包被板,抗体及融合蛋白药物同型对照,通用型抗体等。Combo寓意组合,我们推出的是丰富的系列产品的组合,为基础科学研究、生物医药研发提供不可或缺的研发工具;boX,即工具箱,代表着我们的产品丰富度高。ComboXTM,您身边的通用型研发工具。
产品咨询及开发建议请扫描下方二维码,加团子微信哦~

ACROBiosystems
inquiry@acrobiosystems.com
15117918562
(备注:姓名+公司)
参考文献
Du H, Yang X, Fan J, et al. Claudin 6: Therapeutic prospects for tumours, and mechanisms of expression and regulation[J]. Molecular Medicine Reports, 2021, 24(3): 1-9.