14 年
手机商铺
公司新闻/正文
415 人阅读发布时间:2023-04-13 11:13
转移是指由于癌细胞扩散从原发部位到达其他部位继续生长的过程,也是导致癌症患者的死亡率居高不下的主要原因。转移是一个复杂的、多阶段的过程,涉及到癌症细胞成功转移并在临近器官形成继发肿瘤所必须完成的许多连续步骤和事件,即所谓的转移级联。由于转移级联的紧密连接位于以粘附方式发挥作用的癌症上皮细胞之间,以及作为分子和炎症细胞可通过的屏障的内皮细胞之间,因此,它们是癌症细胞必须克服的关键屏障。基于此,紧密连接的完整性可能是转移级联的关键步骤。

转移级联事件的示意图
正如谚语所说:“好篱笆造就好邻居”。这种说法不仅适用于房地产市场,也是自然界所有物种进化、发展的真理。Claudin家族是在内皮细胞和上皮细胞中表达的紧密连接蛋白,它们通过紧密连接复合物调节分子的交通,参与不同组织间组织屏障的形成。多项研究数据显示,Claudin家族蛋白的异常表达与肿瘤的发生、发展及预后密切相关,因此Claudin是诊断和预后的潜力生物标志物与治疗靶点,并已广泛应用于肿瘤临床诊断和治疗。

Claudin的结构示意图
Claudin与癌症
癌症中Claudin和其他紧密连接蛋白的丢失会导致细胞粘附机制的丧失,这是癌症向转移进展的关键一步。研究表明,胰腺癌细胞中Claudin 4的表达降低了细胞的侵袭性。此外,三维培养中,Claudin 1在癌症细胞中的再表达可加速细胞凋亡。另一方面,许多Claudin,如Claudin 3和Claudin 4,在许多癌症中表达上调。在晚期卵巢癌症中观察到Claudin 3和Claudin 4的表达,但在卵巢囊腺瘤中却没有类似表达现象。
Claudin在癌症中的表达

Claudin:潜力生物标志物&治疗靶点
高新分析技术的出现使人们能够无偏见地识别癌症中差异表达的基因。多年来生物学者一直在研究紧密连接蛋白在肿瘤发生中的作用,并发现特定的Claudin家族成员可作为乳腺癌和卵巢癌的潜在生物标志物,并确定了Claudin是癌症中经常改变的蛋白质。这一发现表明Claudin的异常表达模式在耐药癌症的检测、诊断和治疗中是有用的。尽管需要进行临床试验来确定Claudin这一潜力,但对Claudin的进步研究可能有助于为正常和肿瘤细胞生理学提供重要见解。
ACROBiosystems百普赛斯凭借"膜杰作"——多次跨膜靶点蛋白开发技术平台,攻克全长多次跨膜靶点抗原制备难点,已成功开发Claudin系列产品:Claudin 18.2, Claudin 18.1,Claudin 4,Claudin 6,Claudin 9,维持了Claudin蛋白的天然构象。Claudin系列产品的高生物活性经ELISA/SPR/BLI/FACS多平台验证,满足药物研发应用场景,全面助力创新药物研发。
产品列表
验证数据
✍ Claudin 4 —— 高生物活性经抗体结合验证

Immobilized Human Claudin-4 Full Length Protein (VLP) (Cat. No. CL4-H52P5) at 1 μg/mL (100 μL/well) can bind Monoclonal Anti-Human Claudin 4 antibody, Human IgG1 with a linear range of 1-63 ng/mL (QC tested).

Immobilized Human Claudin-4 Protein, His,Twin-Strep Tag (Cat. No. CL4-H5587) at 1 μg/mL (100 μL/well) can bind Monoclonal Anti-Human Claudin 4 antibody, Human IgG1 with a linear range of 0.1-2 ng/mL (QC tested).
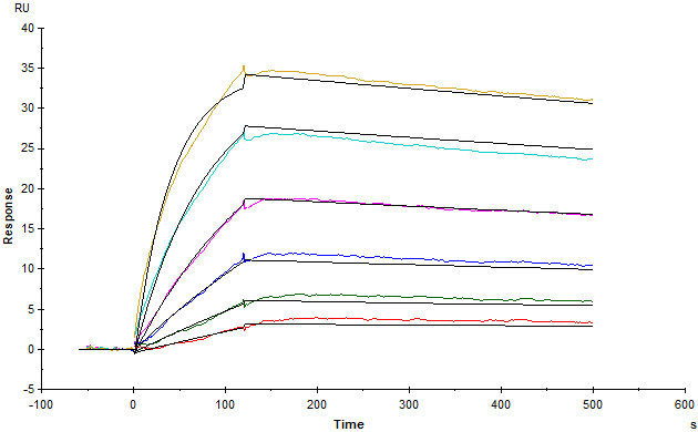
✍ Claudin 6 —— 高生物活性经SPR验证

Anti-Claudin-6 Antibody, Human IgG1 captured on Protein A Chip can bind Human Claudin-6 Protein, His,Twin-Strep Tag (Cat. No. CL6-H5289) with an affinity constant of 4.95 nM as determined in a SPR assay (Biacore 8K) (Routinely tested).

Anti-Claudin-6 Antibody, Human IgG1 captured on Protein A Chip can bind Human Claudin-6 Protein, His,Twin-Strep Tag (Cat. No. CL6-H5286) with an affinity constant of 1.08 nM as determined in a SPR assay (Biacore 8K) (Routinely tested).
✍ Claudin 18.2 —— 高生物活性经SPR&BLI验证

Human Claudin-18.2 Full Length Protein-VLP (Cat. No. CL2-H52P7) captured on CM5 Chip via Anti-Claudin-18.2 antibody can bind Anti-Claudin-18.2 antibody with an affinity constant of 0.374 nM as determined in a SPR assay (Biacore T200) (Routinely tested).

Loaded Monoclonal Anti-Chimeric Claudin-18.2 Antibody, Human IgG1 on AHC Biosensor, can bind Human / Cynomolgus Claudin-18.2, His,Twin-Strep Tag (Cat. No. CL2-H5587) with an affinity constant of 3.03 nM as determined in BLI assay (ForteBio Octet Red96e) (Routinely tested).
点击申请Protocol
相关阅读
>>>ACRO"膜杰作":全长四次跨膜蛋白Claudin 6
>>>点击了解“膜杰作”——多次跨膜靶点蛋白开发技术平台及系列产品

ACROBiosystems
inquiry@acrobiosystems.com
15117918562
(备注:姓名+公司)
参考文献
1. Liu W, Li M. The role of claudin-4 in the development of gastric cancer[J]. Scandinavian Journal of Gastroenterology, 2020, 55(9): 1072-1078.
2. Escudero-Esparza A, Jiang W G, Martin T A. The Claudin family and its role in cancer and metastasis[J]. Front Biosci, 2011, 16(1): 1069.
3. Morin P J. Claudin proteins in human cancer: promising new targets for diagnosis and therapy[J]. Cancer research, 2005, 65(21): 9603-9606.