14 年
手机商铺
公司新闻/正文
1026 人阅读发布时间:2025-03-03 15:44

抗体偶联药物(Antibody - drug conjugate,ADC)作为一种创新的肿瘤治疗手段,通过将单克隆抗体与小分子毒素经连接子偶联,实现了对肿瘤抗原的高精度靶向,从而在提升疗效的同时降低了全身毒性。其作用机制主要包括:ADC 的抗体部分与靶抗原结合后,被内化至细胞内形成早期内体,随后早期内体成熟为晚期内体并与溶酶体融合,在溶酶体酶作用下,小分子毒素从抗体上释放,通过靶向微管或 DNA 杀死癌细胞。此外,部分有效载荷还可透过膜扩散至细胞外基质,杀死邻近细胞,发挥旁观者效应,进一步增强 ADC 的功效。

在 ADC 药物开发的复杂进程中,药效评估是关键环节之一。鉴于ADC药物的组成复杂性,其药效评估也涉及多个阶段和方面。在临床前药效研究中,抗原结合、Fc 受体亲和力验证、抗体依赖性细胞介导的细胞毒作用/抗体依赖性细胞吞噬作用(ADCC/ADCP)功能验证、内吞作用以及细胞杀伤等都是需要重点关注的检测方向。以下将对这五个方面分别进行详细介绍。
在理想的ADC中,抗体作为与靶抗原特异性结合的关键载体,必须具备高结合亲和力和低免疫原性。同时,抗体还需维持较长的血浆半衰期并具备快速内化的能力。因此,ADC药物的体外药效首先取决于抗体与肿瘤相关抗原的结合能力。这一评估可以通过分子水平和细胞水平两个层面进行。分子层面的检测可借助ELISA、SPR等方法;而细胞层面的检测则通常通过流式细胞术(FACS)来实现。ELISA适用于初步筛选,而流式细胞术则能更精确地测定抗体与抗原结合的亲和力和特异性。
应用案例:
PSMA与抗体的结合活性经ELISA验证

Immobilized Monoclonal Anti-Human PSMA Antibody, Human IgG1 at 2 μg/mL (100 μL/well) can bind Human PSMA, His Tag (Cat. No. PSA-H52H3) with a linear range of 2-39 ng/mL (QC tested).
LRRC15与抗体的结合活性经ELISA验证

Immobilized Human LRRC15, His Tag (Cat. No. LR5-H52H3) at 10 μg/mL (100 μL/well) on an Nickel Coated plate can bind Samrotamab with a linear range of 0.2-6 ng/mL (QC tested).
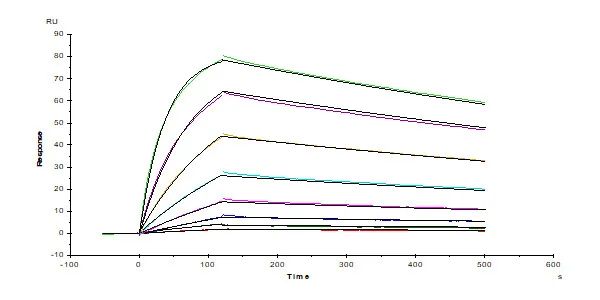
TROP-2与抗体的结合活性经ELISA验证

Captured Trop2 antibody on CM5 chip via anti-mouse antibodies surface can bind Human TROP-2, His Tag (Cat. No. TR2-H5223) with an affinity constant of 5.98 nM as determined in a SPR assay (Biacore T200) (Routinely tested).
ADC药物的功效不仅取决于其Fab片段结合靶抗原的活性,还取决于其Fc片段与Fc受体的相互作用。ADC药物还可利用Fc介导的效应功能实现对肿瘤细胞的杀伤和清除,例如抗体依赖性细胞介导的细胞毒作用(ADCC)、补体依赖性细胞毒作用(CDC) 和抗体依赖性细胞吞噬作用 (ADCP)。Fc片段与FcRn受体的亲和力可以预测抗体的半衰期。因此,优化抗体结构,筛选获得和Fc受体亲和力最理想的抗体,是发展治疗性抗体药物的一个重要途径。
应用案例:
Human CD64与结合Herceptin亲和力经SPR验证

Human CD64, His Tag (Cat. No. FCA-H52H1) captured on CM5 chip via anti-His antibody can bind Herceptin® with an affinity constant of 4.92 nM as determined in a SPR assay (Biacore 8K) (QC tested).
ADC药物还可利用Fc介导的效应功能实现对肿瘤细胞的杀伤和清除,例如抗体依赖性细胞介导的细胞毒作用(ADCC)、补体依赖性细胞毒作用(CDC) 和抗体依赖性细胞吞噬作用 (ADCP)。
在ADCC过程中,ADC药物的Fab端与靶细胞表面的抗原结合,同时其Fc部分与免疫效应细胞(如NK细胞)表面的FcγR结合,激活免疫效应细胞释放细胞毒性物质,从而杀死靶细胞。而在ADCP过程中,ADC药物的Fc部分与肿瘤相关巨噬细胞(TAM)表面的FcγR结合,激活巨噬细胞产生吞噬作用,将靶细胞吞噬并降解。因此,评估ADC药物的ADCC/ADCP效应对于确保药物的安全性和有效性至关重要。
产品推荐:
ADCC/ADCP功能验证报告基因细胞株:

ADCC活性评价应用案例:
Human CD16a (158V) (Luc) Jurkat Reporter Cell Development Service (Cat.No. SCJUR-STF067)

ADCC response to anti-human CD20 antibody (RLU).
Anti-human CD20 antibody-induced ADCC activity was evaluated using Human CD16a (158V) (Luc) Jurkat Reporter Cell in the presence of Raji cells that express CD20 endogenously. The EC50 of anti-human CD20 antibody was approximately 0.0028 μg/mL.

ADCC response to anti-human CD20 antibody (FOLD).
Anti-human CD20 antibody-induced ADCC activity was evaluated using Human CD16a (158V) (Luc) Jurkat Reporter Cell in the presence of Raji cells that express CD20 endogenously. The max induction fold was approximately 854.
ADCP活性评价应用案例:
Human CD32a (131H) (Luc) Jurkat Reporter Cell Development Service (Cat.No.SCJUR-STF069)

ADCP response to anti-human CD20 antibody (RLU).
Anti-human CD20 antibody-induced ADCP activity was evaluated using Human CD32a (131H) (Luc) Jurkat Reporter Cell in the presence of Raji cells that express CD20 endogenously. The EC50 was approximately 0.1054 μg/mL.

ADCP response to anti-human CD20 antibody (FOLD).
Anti-human CD20 antibody-induced ADCP activity was evaluated using Human CD32a (131H) (Luc) Jurkat Reporter Cell in the presence of Raji cells that express CD20 endogenously. The max induction fold was approximately 277.90.
ADC药物的抗肿瘤机制之一是通过受体介导的内吞作用进入肿瘤细胞。这一过程可以通过使用酸性pH敏感的荧光染料来标记抗体,并通过流式细胞术、高内涵筛选或活细胞成像等技术来观察和评估。
产品推荐:
即将上线:内吞检测试剂盒
细胞杀伤功能是评估 ADC 药物抗肿瘤活性的关键指标,直接反映药物对肿瘤细胞增殖的抑制或直接杀伤效果。在 ADC 药物研发过程中,全面、准确地评估其细胞杀伤功能至关重要,可为药物的优化和临床应用提供关键依据。
在评估ADC药物的细胞杀伤功能时,选择合适的细胞系至关重要。通常应选择表达靶抗原的肿瘤细胞系(Ag+)和不表达或低表达靶抗原的肿瘤细胞系(Ag -)进行对比实验,以评估 ADC 药物的靶向性和特异性。
产品推荐:
ADC靶点蛋白过表达细胞株
CDH6过表达细胞株杀伤效果验证:

CDH17过表达细胞株杀伤效果验证:

通过以上全面的临床前药效评价,可为 ADC 药物的研发提供关键数据支持,助力科研人员深入理解药物的作用机制和效果,为后续的临床研究和药物优化提供有力依据。

ACROBiosystems
inquiry@acrobiosystems.com
15117918562
(备注:姓名+公司)