14 年
手机商铺
公司新闻/正文
422 人阅读发布时间:2023-09-12 15:48

BA.2.86携带大量基因突变
EG.5形成优势流行
EG.5是XBB.1.9.2的一个后代谱系,与XBB.1.5具有相同的刺突氨基酸谱。与XBB.1.9.2亚型和XBB.1.5亚型相比,EG. 5在刺突蛋白中携带一个额外的F456L氨基酸突变。在EG. 5谱系中,亚变异EG.5.1有一个额外的突变Q52H,占EG. 5及其后代谱系可用序列的88%。
据报告,在全球范围内,XBB.1.16和EG.5是最-流行的变异株,分别有106个和53个国家报告。两种变异株的感染占比分别达到23.9%和23.8%。EG.5最早于2023年2月17日在印度尼西亚被发现。7月19日,世卫组织将其列为“目前流行的监视下的变异株”,并于8月9日将其升级为“目前流行的需要留意的变异株”。根据中国国家疾控局8月19日发布的消息,EG.5变异株占比在中国呈上升趋势,从4月的0.6%增长至目前的71.6%。EG.5已在中国绝大多数省份形成优势流行,未来一段时间内很可能继续保持此趋势。

目前流行的需要留意的变异株(截至2023年8月17日)图源WHO官网
应对新型突变,ACRO新品发布
BA.2.86突变株相关产品
EG.5突变株相关产品

BA.2.86&EG.5相关产品验证数据
BA.2.86突变株RBD蛋白相关验证数据◉ SDS-PAGE

SARS-CoV-2 Spike RBD Protein, His Tag (BA.2.86/V483del/USA) on SDS-PAGE under reducing (R) condition. The gel was stained with Coomassie Blue. The purity of the protein is greater than 90% (With Star Ribbon Pre-stained Protein Marker).
◉ SEC-MALS

The purity of SARS-CoV-2 Spike RBD Protein, His Tag (BA.2.86/V483del/USA) (Cat. No. SPD-C5247) is more than 85% and the molecular weight of this protein is around 35-45 kDa verified by SEC-MALS.
◉ Bioactivity-ELISA

Immobilized Human ACE2, Fc Tag (Cat. No. AC2-H5257) at 5 μg/mL (100 μL/well) can bind SARS-CoV-2 Spike RBD Protein, His Tag (BA.2.86/V483del/USA) (Cat. No. SPD-C5247) with a linear range of 1.953-31.25 ng/mL (QC tested).

Immobilized SARS-CoV-2 Spike RBD Protein, His Tag (BA.2.86/V483del/USA) (Cat. No. SPD-C5247) at 1 μg/mL (100 μL/well) can bind Human ACE2, Fc Tag (Cat. No. AC2-H5257) with a linear range of 0.122-3.906 ng/mL (Routinely tested).
EG.5突变株S Trimer蛋白相关验证数据◉ SDS-PAGE

SARS-CoV-2 Spike Trimer Protein, His Tag (EG.5/Omicron) on SDS-PAGE under reducing (R) condition. The gel was stained with Coomassie Blue. The purity of the protein is greater than 90% (With Star Ribbon Pre-stained Protein Marker).
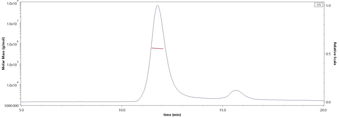
◉ SEC-MALS

The purity of SARS-CoV-2 Spike Trimer Protein, His Tag (EG.5/Omicron) (Cat. No. SPN-C524u) is more than 85% and the molecular weight of this protein is around 530-580 kDa verified by SEC-MALS.
◉ Bioactivity-ELISA

Immobilized Human ACE2, Fc Tag (Cat. No. AC2-H5257) at 5 μg/mL (100 μL/well) can bind SARS-CoV-2 Spike Trimer Protein, His Tag (EG.5/Omicron) (Cat. No. SPN-C524u) with a linear range of 0.977-31.25 ng/mL (QC tested).

Immobilized SARS-CoV-2 Spike Trimer Protein, His Tag (EG.5/Omicron) (Cat. No. SPN-C524u) at 1 μg/mL (100 μL/well) can bind Human ACE2, Fc Tag (Cat. No. AC2-H5257) with a linear range of 0.122-3.906 ng/mL (Routinely tested).

ACROBiosystems
inquiry@acrobiosystems.com
15117918562
(备注:姓名+公司)