14 年
手机商铺
公司新闻/正文
2738 人阅读发布时间:2020-10-09 15:11
亲和力是判定分子间相互作用的重要参数,是了解分子以及识别生物学过程、药物的发现与筛选等的重要指标。ACROBiosystems基于Biacore平台与ForteBio Octet平台为生物医药研发客户提供相应的分子互作分析测试服务,能够实现对蛋白,抗体及Fab片段等相互作用的定性定量分析,主要服务包括抗体筛选、表征、一致性评价以及生物分子间相互作用等,助力于生物医药的发展。
依托强大专业的技术团队,ACROBiosystems为客户提供高质量一体化的SPR&BLI分子互作检测服务,已合作工业及科研用户逾百余家,助力多种抗体药物申报临床阶段。本期ACROBiosystems检测分析服务中心就与大家详细分享SPR&BLI检测分析技术在您的全周期抗体药物开发中的应用。
客户反馈
来看下那些年我们服务过的他们都说了什么~

咨询ACROBiosystems SPR&BLI检测服务可直接扫码沟通

抗体高通量筛选
我们可以对培养基中或者纯化出的候选抗体进行初步的亲和力排序,对抗体的特异性、动力学特征进行初步的判断,加快对候选药物的选择。

Fig. 1 Anti- BCMA antibodies (Mouse IgG1) captured on CM5 chip via anti-Mouse IgG antibody, can bind Human BCMA Protein, His Tag (Cat. No. BCA-H522y) as screened assay in a SPR (Biacore T200).
抗体表征
根据抗体表征,能进一步了解抗体的亲和力、动力学特征以及初步判断药物在体内的代谢等。

Fig.2 Loaded Opdivo (Nivolumab) on Protein A Biosensor, can bind Human PD-1, His Tag (HPLC-verified) (Cat. No. PD1-H5221) with an affinity constant of 5.09 nM as determined in BLI assay (ForteBio Octet Red96e).
批间一致性评价
通过SPR技术可以进行药物的批间一致性评价,保证药物在生产过程中质量可控。

Fig.3 Batch consistency of Human Fc gamma RIIB / CD32b (Cat. No. CDB-H5228). The similarity of Human Fc gamma RIIB / CD32b (Cat. No. CDB-H5228) for different batches is more than 90% (Biacore T200).
抗体与Fc受体蛋白亲和力检测
治疗性抗体的功效不仅取决于其Fab片段结合靶抗原的活性,还取决于其Fc片段与Fc受体的相互作用。因此,优化抗体结构,筛选获得和Fc受体亲和力最理想的抗体,是发展治疗性单克隆抗体的一个重要途径。

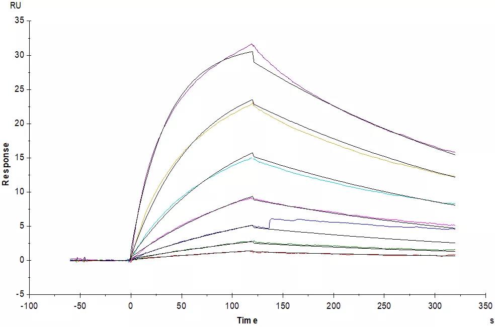
Fig.4 Immobilized Human Fc gamma RI / CD64 Protein (Cat. No. FCA-H52H2) on CM5 Chip via anti-Histidine antibody, can bind Herceptin® with an affinity constant of 5.45 nM as determined in SPR assay ( Biacore T200 ).

Fig.5 Loaded Human CD16a (F176), His Tag (SPR & BLI verified) (Cat. No. CDA-H5220) on HIS1K Biosensor, can bind Rituximab with an affinity constant of 1.72 μM as determined in BLI assay (ForteBio Octet Red96e) .
多种属交叉实验
抗体针对不同种属抗原可能具备不同反应性,通过研究抗体的多种属交叉实验,可以选择适当的动物模型去进行进一步的研究。

Fig.6 SPR验证Paguma larvata ACE2蛋白对SARS的结合亲和力要高于SARS-COV-2。SARS S RBD与果子狸ACE2亲和力常数能达到0.101 µM,而SARS-CoV-2 S RBD蛋白与果子狸ACE2亲和力常数只有29 µM。SARS S1蛋白与果子狸ACE2亲和力常数能达到0.796 µM,而SARS-CoV-2 S1蛋白与果子狸ACE2亲和力常数只有47.3 µM。
双特异性抗体
双特异性抗体(bispecific antibody,BsAb)是一类可以同时结合两个不同抗原或者同一抗原上的两个不同抗原表位的抗体分子。双特异性抗体能够发挥两种单抗的协同作用,在临床前研究和临床治疗上可能比混合使用两个单抗更有优势。检测其两个Fab端的对各自靶点的亲和力也是双抗药优化必须的步骤。

Fig.7 Bispecific T-cell Engager (CD3×BCMA) immobilized on CM5 Chip can bind Human CD3E&CD3D Heterodimer Protein, His Tag&Tag Free (Cat. No. CDD-H52W1) with an affinity constant of 31.8 nM as determined in a SPR assay (Biacore T200).
抗体与补体亲和力测定
大部分治疗性抗体需要通过CDC效应来杀伤或清除肿瘤细胞,而在C1q与抗体的亲和力的强弱直接决定了是否可以诱导比较强的CDC效应。因此检测一些抗体与C1q的亲和力也是抗体药研发阶段中必须的过程。

Fig.8 Trastuzumab can bind C1q with an affinity constant of 3.24 nM as determined in BLI assay (ForteBio Octet Red96e) .
ACROBiosystems检测分析服务中心推出长期优惠活动
抗体与Fc受体蛋白亲和力检测整体解决方案助力您的研发进程
您只需提供样品,我们两周内即可为您提供:
覆盖抗体药研发所需人源Fc受体蛋白所有基因型(如下图)的SPR/BLI亲和力检测实验;
我们将免费提供实验所需全部Fc受体蛋白!
更有方案打包优惠价格供您选择!

Fig.9 人源Fc受体蛋白所有基因型
您可通过以下方式咨询或者联系我们:
邮件:service.cn@acrobiosystems.com
电话:13521050293(Vivian)
微信:扫描下方二维码即可进行沟通
