14 年
手机商铺
公司新闻/正文
652 人阅读发布时间:2021-02-21 17:58
Elzonris:第一款
近日,欧盟委员会(EC)批准靶向CD123的药物Elzonris(tagraxofusp)上市。Elzonris成为了欧洲第一个获批的母细胞性浆细胞样树突细胞肿瘤(BPDCN)的治疗药物。事实上,Elzonris早在2018年就在美国FDA获批,是全球第一个针对BPDCN的治疗药物,也是第一个获批的靶向CD123的药物。该药由人IL-3与截短的白喉毒素(DT)进行重组融合而成,其中IL-3结构域能够将细胞毒性DT片段引导至表达CD123的肿瘤细胞,在被肿瘤细胞内化后,Elzonris能够不可逆地抑制蛋白质合成并诱导靶细胞凋亡。
除了治疗BPDCN,Elzonris还将开发用于治疗其他CD123阳性适应症,包括:慢性骨髓单核细胞性白血病(CMML)、骨髓纤维化(MF)及其他适应症。

图1 Elzonris的作用机制(图片来源:Stemline公司宣传材料)
BPDCN是一种预后不佳、罕见且具有侵袭性的恶性髓系造血系统肿瘤,通常存在于骨髓和/或皮肤,也可能涉及淋巴结和内脏,并经常扩散到骨髓。目前该领域的医疗需求尚未满足。BPDCN的诊断是基于CD123、CD4、CD56的免疫诊断三联体。CD123(IL-3 R alpha)是识别BPDCN的一个关键标志物,也是各种癌症治疗研究中的一个关键的靶点。
CD123是异二聚体白细胞介素-3受体(IL-3R)的亚基, IL-3R是β共同受体家族成员。这种膜受体家族在调节造血细胞的生长、增殖、存活和分化中发挥重要作用,以及免疫和炎症反应。CD123在各种血液系统恶性肿瘤中广泛表达,比如急性髓细胞性白血病(AML)、B细胞急性淋巴细胞性白血病、毛细胞白血病、霍奇金淋巴瘤和原生质浆样树突状肿瘤(BPDCN)。同时,CD123在正常细胞中低表达,这使CD123成为非常有吸引力的靶点蛋白。
Elzonris只是越来越多的CD123靶向疗法之一,其中包括双特异性抗体,抗体-药物偶联物(ADC), CAR-T疗法和其他治疗方式。
图2 CD123为靶点的治疗方法发展(图片来源:Cardiovasc Hematol Disord Drug Target)
IMGN632是一款以CD123为靶点的ADC药物,已于2020年10月获美国FDA授予突破性药物资格(BTD),用于治疗血液系统恶性肿瘤,包括母细胞性浆细胞样树突细胞肿瘤(BPDCN)、急性髓性白血病(AML)、急性淋巴细胞白血病(ALL)。

图3 IMGN632的作用机制(图片来源,ImmunoGen公司宣传材料)
除了ADC外,CD123在双抗领域也应用广泛,众多公司布局靶向CD123的双抗领域,目前较为热门的产品为靶向CD123/CD3的双抗,如 Flotuzumab(MacroGenics)、AR440234(赛诺菲)及JNJ-63709178(强生)。
CD123在CAR-T领域的研究也尤为火热。如Mustang开发MB-102(CD123 CAR-T)于18年12月获美国FDA批准,福建医科大学的CD123/CLL1 CAR-T 细胞疗法处于临床三期,国内众多公司都在靶向CD123的CAR-T领域有所布局。
总的来说,CD123作为肿瘤细胞表面的一个特异性标记物具有潜在的开发价值。
ACRO高质量CD123蛋白 助力多领域药物研发
ACROBiosystems致力于提供靶向治疗药物研发过程中所需的靶点抗原、其他关键试剂和相关服务。针对CD123/IL-3 R alpha开发了一系列蛋白产品,包括Human/Mouse/ Cynomolgus/Canine等不同种属,FITC/Biotin等不同标记。产品特性经过ELISA/MALS-HPLC/SPR/BLI等多种方法验证。更有研发人员将详细的实验操作整理成了相应的protocol免费提供,欢迎前来咨询。
热门产品
|
货号 |
产品描述 |
|
Human IL-3 R alpha / CD123 Protein, His Tag (SPR verified) |
|
|
Human IL-3 R alpha / CD123 Protein, Llama IgG2b Fc Tag |
|
|
FITC-Labeled Human IL-3 R alpha / CD123 Protein, His Tag(在研) |
|
|
Biotinylated Human IL-3 R alpha / CD123 Protein, His,Avitag™ (MALS verified) |
|
|
Mouse IL-3 R alpha / CD123 Protein, His Tag (SPR verified) |
|
|
Cynomolgus IL-3 R alpha / CD123 Protein, His Tag (SPR verified) |
|
|
Canine IL-3 R alpha / CD123 Protein, His Tag(在研) |
>>>此外,如果您有任何建议或者定制需求,请随时联系我们。
>>>MALS验证高纯度

The purity of Biotinylated Human IL-3 R alpha, His,Avitag (Cat. No.ILA-H82H5) was more than 85% and the molecular weight of this protein is around 55-65 kDa verified by SEC-MALS.
>>>高生物活性
ELISA

Immobilized Biotinylated Human IL-3 R alpha, His,Avitag (Cat. No. ILA-H82H5) at 1 μg/mL (100 μL/well) on streptavidin precoated (0.5 μg/well) plate can bind Anti-IL-3 R alpha Antibody, Human IgG1 with a linear range of 0.4-2 ng/mL (QC tested).
SPR

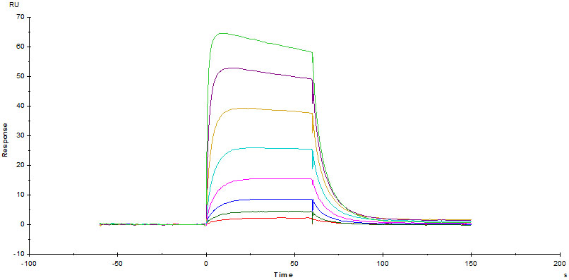
Immobilized Human IL-3 R alpha, His Tag (SPR verified) (Cat. No. ILA-H52H6) on CM5 Chip via anti-His antibody can bind Human IL-3, Tag Free with an affinity constant of 224 nM as determined in SPR assay (Biacore T200) (QC tested).
BLI

Loaded Human IL-3 R alpha, His Tag (SPR verified) (Cat. No. ILA-H52H6) on NTA Biosensor, can bind Human IL-3, Tag Free with an affinity constant of 370 nM as determined in BLI assay (ForteBio Octet Red96e) (Routinely tested).
您可通过以下方式联系到ACROBiosystems:
邮件:inquiry@acrobiosystems.com
电话:18811625790
微信:扫描下方二维码添加小助手即可进行沟通

(请备注公司+姓名)