14 年
手机商铺
公司新闻/正文
1329 人阅读发布时间:2020-10-09 13:54
近来,关于CD47的新闻层出不穷。日前天境生物宣布与艾伯维联手,就其用于治疗多种癌症的CD47单克隆抗体lemzoparlimab在全球的开发和商业化开展合作的热度还未褪去,昨日(9月16日)吉利德科学公司(Gilead Sciences)就宣布,美国FDA已经授予“first-in-class”抗CD47单克隆抗体magrolimab突破性疗法认定,适应症为新确诊的骨髓增生异常综合征(MDS)。Magrolimab是吉利德科学公司通过收购Forty Seven公司收获的抗CD47单克隆抗体。它旨在通过与CD47的结合,干扰巨噬细胞上的SIRPα受体对CD47的识别,从而扰乱“别吃我”信号。
自2018年开始,《新英格兰医学杂志》首次报道了CD47的抗体可以成功的用于肿瘤病人的诊治,有效率非常高且副作用可控,打破了多年来关于该靶点抗体药物的副作用高,疗效差等消极的局面。随后,国内外多家公司在CD47这个靶点进行布局:SIRPα融合蛋白、CD47抗体、SIRPα抗体、SIRPγ融合蛋白,并由此衍生出许多双抗药物。2019年11月我国杭州翰思&武汉翰雄首创的抗 PD-1/CD47双特异抗体新药HX009获得NMPA IND批准。同时,宜明昂科自主研发的靶向CD47和CD20的双特异性抗体药物IMM0306也获得获得NMPA IND许可。CD47已成为国内PD-1之后竞争最为激烈的靶点。
表一:CD47药物开发现状

(数据来源于药渡)
CD47是一种在正常组织(包括红细胞)都表达广泛表达的自我保护型膜蛋白。CD47与巨噬细胞表达的SIRPα结合,传递抑制信号,抑制巨噬细胞的吞噬活性。肿瘤细胞为了逃逸巨噬细胞的攻击,会高表达CD47,大量激活CD47-SIRPα的抑制信号,从而逃脱免疫系统的攻击。目前常规的开发策略为靶向CD47的抗体药物主要通过阻断CD47-SIRPα之间的相互作用解除抑制信号,从而激活巨噬细胞发挥吞噬作用抗肿瘤。同时抗体药的Fc端可以协同刺激巨噬细胞,增强吞噬活性,更好的发挥药效。除了单抗药物,双抗药物的开发也是一个重要的策略。例如宜明昂科的IMM0306是一种靶向CD47和CD20双特异性抗体。通过靶向CD47解除巨噬细胞抑制信号,通过Fc介导的ADCC/ADCP激活NK细胞及巨噬细胞提高肿瘤免疫治疗效应,与此同时通过和肿瘤细胞表面的CD20结合而避开与正常组织CD47的结合从而减低CD47靶点相关毒性。

图1. CD47-SIRPα信号通路
目前大家的研究中心都集中在CD47,作为受体的SIRPα则相对关注度不高。SIRPα在髓系细胞如巨噬细胞和树突状细胞 (DC) 中尤其丰富,而在 T细胞,B细胞和NK细胞中表达水平极低。现有的研究数据表明,CD47-SIRPα信号通路除了可以被CD47抗体阻断,SIRPα融合蛋白、SIRPα抗体也是现在的阻断策略。2020年3月信达生物引入了Alector的AL008,通过诱导巨噬细胞上抑制性受体的降解来缓解免疫抑制,从而非竞争性地拮抗CD47-SIRP-α途径,另一方面通过Fcγ来诱导抗肿瘤免疫。除了抗体,通过突变SIRPα获得高亲和力的重组蛋白用于阻断CD47-SIRPα信号通路也是一个策略。目前研究表明SIRPα天然变体V2对CD47有更高亲和力,且不会结合红细胞的CD47,可以减少副作用的情况。
目前CD47的竞争已经进入白热化阶段,各大厂商都在加速研发抗体药物,针对SIRPα的研究则相对起步较晚,从中或许能找到不一样的途径开发更多种类的抗肿瘤药物。
ACROBiosystems提供了不同种属以及多种标签类型的CD47&SIRPα重组蛋白(包括生物素标记的重组蛋白)以及对应的抗体筛选试剂盒。该系列产品可用于抗体的免疫制备,中和抗体的快速高通量筛选,细胞学验证以及种属交叉反应等多个应用场景。满足ELISA, SPR, BLI, FACS, Alphalisa和MSD等多个实验平台。
(文尾有试用装提供~)

Fig1. The purity of Human CD47, Fc Tag (HPLC-verified) (Cat. No. CD7-H5256) was greater than 90% as determined by SEC-HPLC.
ELISA验证CD47蛋白与SIRP-a结合

Fig2.Immobilized Human SIRP alpha, His Tag (HPLC-verified) (Cat. No. SIA-H5225) at 2 μg/mL (100 μL/well) can bind Biotinylated Human CD47, Fc,Avitag (Cat. No. CD7-H82F6) with a linear range of 8-250 ng/mL.
FACS验证,CD47蛋白可与表达SIRP-a的ACHN细胞结合

Fig3.FACS assay shows that Human CD47, Fc Tag (HPLC-verified) (Cat. No.CD7-H5256) can bind to ACHN cell expressing SIRP-a. The concentration of CD47 used is 10 μg/mL.
>>>抗体亲和力测试
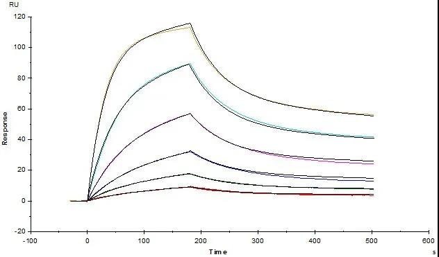
SPR验证,CD47与抗体结合亲和力强

Fig4.Anti-Human CD47 MAb (Human IgG4) captured on CM5 chip via Anti-Human IgG Fc antibodies surface, can bind Human CD47, His Tag (Cat. No.CD7-H5227) with an affinity constant of 1.66 nM as determined in a SPR assay (Biacore T200)
>>>中和抗体的筛选策略

Fig5.Serial dilutions of Anti-Human CD47 Neutralizing Antibody were added into Human SIRP alpha, His Tag (HPLC-verified) (Cat. No. SIA-H5225): Biotinylated Human CD47, Fc,Avitag (Cat. No. CD7-H82F6) binding reactions. The half maximal inhibitory concentration (IC50) is 124.5 ng/mL.

Fig6.FACS analysis shows that the binding of Human CD47 to ACHN expressing SIRP-a was inhibited by increasing concentration of neutralizing SIRP-a antibody with the IC50 15.02 μg/mL. The concentration of Human CD47 used is 10 μg/mL.

您可通过以下方式联系到ACROBiosystems:
邮件:order.cn@acrobiosystems.com
电话:13521050293
微信:扫描下方二维码即可进行沟通

(请备注公司+姓名)
参考资料:
1. Jalil A A R , Andrechak J C , Discher D E . Macrophage checkpoint blockade: a perspective on results from initial clinical trials and on CD47-SIRPα structure-function[J]. Antibody Therapeutics, 2020, 3(2).
2. Feng M , Jiang W , Kim B Y S , et al. Phagocytosis checkpoints as new targets for cancer immunotherapy[J]. Nature Reviews Cancer, 2019, 19(10):1-19.
3. Willingham S B , Volkmer J P , Gentles A J , et al. The CD47-signal regulatory protein alpha (SIRPa) interaction is a therapeutic target for human solid tumors[J]. Proceedings of the National Academy of Sciences, 2012, 109:6662-6667.
4. Mark P Chao and Irving L Weissman and Ravindra Majeti. The CD47–SIRPα pathway in cancer immune evasion and potential therapeutic implications[J]. Current Opinion in Immunology, 2012.
5. Oldenborg, P.-A. Role of CD47 as a Marker of Self on Red Blood Cells[J]. Science, 2000, 288(5473):2051-2054.